dot2tex - A Graphviz to LaTeX converter

A tool for converting graphs generated by Graphviz to formats suitable for use with LaTeX.

Author:Kjell Magne Fauske
Version:2.8.2
Licence:MIT

The purpose of dot2tex is to give graphs a more LaTeX look and feel. This is accomplished by:

Dependencies

The following software and modules are required to run dot2tex:

Users have reported problems using dot2tex with old versions of pyparsing and Graphviz.

A natural companion to dot2tex is the dot2texi LaTeX package for embedding graphs directly in your LaTeX source code.

Dot2tex was developed and tested using Python 2.4 and 2.5. However, dot2tex will probably run fine using Python 2.3.

Installation

From source

Download a zip or a tarball from the download page. It is also available on CTAN. Unpack the file to a directory and run python on the setup.py file:

$ python setup.py install

This will create a dot2tex module in your Python module directory and a wrapper script in your SCRIPTS directory. Note that a few warnings will be displayed. You can safely ignore them. The warnings are shown because there is some extra information in the setup.py file that distutils does not understand.

Using easy_install

The easiest way to install dot2tex is to use easy_install:

$ easy_install dot2tex

The command will locate dot2tex and download it automatically. Note that documentation and examples are not installed by default. Easy_install will also create a wrapper script or EXE file for you and install dependencies if necessary.

Binary packages

Binary packages are available for Debian and OpenSUSE.

Development version

The development version of dot2tex is available from a Subversion repository hosted at Google code. To get the code you can use the following command:

svn checkout http://dot2tex.googlecode.com/svn/trunk/ dot2tex

Usage

Syntax:

dot2tex [options] [inputfile]

Input data is read from standard input if no input file is specified. Output is written to standard output unless a destination file is set with the -o option.

Dot2tex can also be loaded as a module for use in other Python program. See the Using dot2tex as a module section for more details.

Dot2tex relies on the xdot format generated by Graphviz. Dot2tex will automatically run dot on the input data if it is in the plain dot format. If you want to use other layout tools like neato and circo, use the --prog option.

A few examples on how to invoke dot2tex:

Read a file from standard input and write the result to the file test.tex:

$ dot -Txdot test.dot | dot2tex > test.tex
$ neato -Txdot -Gstart=rand test.dot | dot2tex > test.tex

Load test.dot, convert it to xdot format and output the resulting graph using the tikz output format to testpgf.tex:

$ dot2tex -ftikz test.dot > testtikz.tex

The same as above, but use neato for graph layout:

$ dot2tex --prog=neato -ftikz test.dot > testtikz.tex

Invoking dot2tex

Windows users you have to type python dot2tex to invoke the program. If you find this annoying, try the ExeMaker tool from effbot.org, or better, use easy_install to install dot2tex.

Options

The following options are available:

-h, --help Display help message.
-f fmt, --format fmt
 

Set output format. The following values of fmt are supported:

pgf
PGF/TikZ. Default.
pstricks or pst
Use PSTricks.
tikz
TikZ format.
-t mode, --texmode mode
 

Text mode. Specify how text is converted.

verbatim
Text is displayed with all special TeX chars escaped (default).
math
Output all text in math mode $$.
raw
Output text without any processing.

Note that you can locally override the text mode by assigning a special texlbl attribute to a graph element, or by using the texmode attribute.

-s, --straightedges
 Draw edges using straight lines. Graphviz uses bezier curves to draw straight edges. Use this option to force the use of line to operations instead of curves. Does not work in duplicate mode.
-o filename, --output filename
 Write output to file.
-d, --duplicate
 Duplicate the xdot output. Uses the drawing information embedded in the xdot output to draw nodes and edges.
--template filename
 Use template from file. See the templates section for more details.
-V, --version Print version information and exit.
-w, --switchdraworder
 Switch drawing order of nodes and edges. By default edges are drawn before nodes.
-c, --crop Use preview.sty to crop the graph. Currently only implemented for the pgf and tikz output format.
--figonly Output the graph without a document preamble. Useful if the graph is to be included in a master document.
--codeonly Output only the drawing commands, without wrapping it in a tikzpicture or pspicture environment. Useful when used with the dot2texi package.
--preproc Preprocess the graph through LaTeX using the preview package. Will generate a new dot file where the height and widths of nodes and edge labels are set based on the results from preview.
--autosize

Preprocess the graph and run Graphviz on the output. Equivalent to:

$ dot2tex --preproc ex1.dot | dot2tex
--prog program

Set graph layout program to use when the input is in plain dot format. Allowed values:

  • dot (default)
  • neato
  • circo
  • fdp
  • twopi
--usepdflatex Use pdflatex instead of latex for preprocessing the graph.
--nominsize Ignore minimum node sizes during preprocessing.
--valignmode mode
 

Vertical alignment of node labels, where mode can have the values:

center
Labels are placed in the middle of the node (default).
dot
Use the coordinate given by the xdot output from Graphviz.

(pgf and pstricks only)

--alignstr

Used to pass a default alignment string to the PSTricks \rput command:

\rput[alignstr] ...

Only works for the PSTricks format. PGF/TikZ users can instead pass an anchor=... style using the graphstyle option.

--tikzedgelabels
 Bypass Graphviz' edge label placement and use PGF/TikZ instead (tikz and pgf formats only).
--styleonly Use TikZ only styles when drawing nodes. No draw or shape option is added (tikz format only).
--nodeoptions tikzoptions
 Wrap node code in a scope environment with tikzoptions as parameter (tikz format only).
--edgeoptions tikzoptions
 Wrap edge code in a scope environment with tikzoptions as parameter (tikz format only).
--debug Write detailed debug information to the file dot2tex.log in the current directory.

The following options are used by the output templates.

-e encoding, --encoding encoding
 

Set text encoding. Supported encodings are:

  • utf8
  • latin1
--docpreamble TeXcode
 Insert TeX code in the document preamble.
--figpreamble TeXcode
 Insert TeX code in the figure preamble.
--figpostamble TeXcode
 Insert TeX code in the figure postamble.
--graphstyle style
 Sets the <<graphstyle>> tag.
--margin margin
 Set margin around the graph when using preview.sty. margin must be a valid TeX unit. By default margin is set to 0pt.

Output formats

The output format is specified with the -f fmt or --format fmt command line option.

PGF

This is the default output format. Generates code for the Portable Graphics Format (PGF) package . Mixes both PGF and TikZ commands.

PSTricks

Generates code for the PSTricks package.

TikZ

The tikz output format also uses the PGF and TikZ package. However, it relies on TikZ node and edge mechanisms to draw nodes and edges, instead of using the drawing information provided by Graphviz. This allows much tighter integration with TikZ and in some cases prettier results.

Advantages of the tikz format:

  • The generated code is very compact and clean.
  • Easy to modify the output.
  • Labels will fit inside nodes without preprocessing.
  • Full access to the power of PGF and TikZ.

You can find more details in the section: Use the tikz output format for maximum flexibility.

Note

The tikz output format requires detailed knowledge of the PGF and TikZ package. Some of Graphviz' features will not work with this output format.

Labels

The main purpose of dot2tex is to allow text and labels to be typeset by LaTeX. Labels are treated differently according to the current TeX mode:

verbatim
Text is displayed with all special TeX chars escaped (default).
math
Output all text in math mode $$.
raw
Output text without any processing.

The TeX mode can be set on the command line using the -t option. It can also be set locally in a graph by using the special texmode attribute.

You can also use the special texlbl attribute on a graph element, which is interpreted as raw TeX string. If a texlbl attribute is found, it will be used regardless of the current TeX mode. It also has precedence over the label attribute.

Note

The \ character needs to be escaped with \\ if used in the label attribute.

Note that only position and alignment information is converted. Any font information is lost. This may result in some odd behavior. Some tweaking may be necessary to get it right.

Note

If you use texlbl for edges, you have to provide a dummy label attribute. Otherwise Graphviz will not generate the necessary code for placing edge labels.

Label examples

Consider the following graph:

digraph G {
    a_1-> a_2 -> a_3 -> a_1;
}

Converting the graph using:

$ dot2tex -tmath ex1.dot > ex1.tex

gives the result shown in the left hand side of the figure below. The default rendering is shown to the right. Using the raw mode will result in a compilation error because of the underscore character.

Difference between math and verbatim mode

Example of using texlbl:

digraph G {
    a_1 [texlbl="$\frac{\gamma}{x^2}$"];
    a_1-> a_2 -> a_3 -> a_1;
}
Using the special texlbl attribute

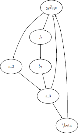
Example of using the texmode attribute:

digraph G {
    a_1 [texlbl="$\frac{\gamma}{2x^2+y^3}$"];
    a_1 -> a_2 -> a_3 -> a_1
    node [texmode="math"];
    a_1 -> b_1 -> b_2 -> a_3;
    b_1 [label="\\frac{\\gamma}{x^2}"];
    node [texmode="verbatim"]
    b_4 [label="\\beta"]
    a_3 -> b_4 -> a_1;
}
Using the special texmode attribute

The above example shows two important things:

  • The backslash \ character needs to be written as \\ in the label attribute.
  • Using LaTeX markup in the label attribute gives oversized nodes. A workaround is to use the texlbl attribute, and manually pad the label attribute to an appropriate length. A much better solution is to use the --preproc option.

Preprocessing the above graph with:

$ dot2tex --preproc ex4.dot | dot2tex > ex4.tex

gives correctly sized nodes:

Preprocessing the graph to get correct node sizes.

Read more about preprocessing in the Preprocessing graphs section.

Vertical label alignment

Dot2tex relies on the xdot format for drawing nodes and placing node labels. The fonts that Graphviz and LaTeX use are different, so using the label coordinates from Graphviz does not always give good results. Dot2tex's default behavior is to place node labels in the middle of the node. However, you can change this behavior by setting the valignmode option to dot. Labels will then be placed using the coordinates supplied by Graphviz.

Here is an example graph where it is necessary to use the valignmode option:

digraph G {
    node0 [label="{left|right}", shape=record];
    node1 [shape=rectangle, label="node 1"];
    node0 -> node1;
    rankdir=LR;
}

For record nodes dot2tex has to use Graphviz coordinates. This is shown in the following figure rendered with:

$ dot2tex valign.dot
Vertical alignment for record shapes

To get the same vertical alignment for both nodes, you can use:

$ dot2tex --valignmode=dot valign.dot
Vertical alignment with --valignmode=dot

Now the labels are aligned, but the labels are still placed too low. The reason for this is that both PSTricks and PGF by default centers text vertically on the current coordinate. The alignment point should in this case be set to the baseline. For PGF/TikZ you can use the --graphstyle option like this:

$ dot2tex --valignmode=dot --graphstyle="anchor=base" valign.dot

PSTricks users have to use the --alingstr option:

$ dot2tex --valignmode=dot --alignstr=B valign.dot
blabla

The result is better, but to get even better alignment you have to change the node font size. Graphviz' default font size is 14pt, which is larger than the typical 10pt or 11pt used in LaTeX documents. By changing the node font size to 10pt we can trick Graphviz to give us a better alignment:

digraph G {
    node [fontsize=10];
    node0 [label="{left|right}", shape=record];
    node1 [shape=rectangle, label="node 1"];
    node0 -> node1;
    rankdir=LR;
}
blabla

Preprocessing graphs

A problem with using LaTeX for typesetting node and edge labels, is that Graphviz does not know the sizes of the resulting labels. To circumvent this problem, you can use the --preproc or --autosize option. The following will then happen:

  1. Node and edge labels are extracted and the corresponding LaTeX markup is saved to a temporary file.
  2. The file is typeset with LaTeX and information about sizes is extracted using the preview package.
  3. A new dot file is created where node and edge label sizes are set using the dot language's width and height attributes.
  4. The generated graph can now be processed using Graphviz and dot2tex. Label sizes will now correspond with the output from LaTeX.

Widths and heights of nodes are handled the in same way as Graphviz does it. The width and height attributes set the minimum size of the node. If label size + margins is larger that the minimum size, the node size will grow accordingly. Default values are width=0.75in and height=0.5in.

Node margins are set using the margin attribute. This also works for edge labels. margin==value sets both the horizontal and vertical margin to value, margin=="hvalue,vvalue" sets the horizontal and vertical margins respectively.

Note

All sizes are given in inches.

If you do not want a minimum node size, you can use the '--nominsize' option. Dot2tex will then use size of label + margins as node size.

Nodes with fixedsize=True attributes are not processed.

Limitations:

Examples

Consider the following graph:

digraph G {
    node [shape=circle];
    a_1 [texlbl="$x^2+\frac{\sin y}{y^2+\cos \beta}+\gamma_3$"];
    a_1 -> a_2 [label=" ", texlbl="$x_1+x_3^2+z+c+v~~$"];
    a_2 -> a_1;
}

Rendered with:

$ dot2tex -tmath example.dot > example.tex

the graph will look like this:

Graph with oversized edge and node labels

You could improve the result by adding a longer label attribute or setting a fixed width. A better solution is to preprocess the graph like this:

$ dot2tex -tmath --preproc example.dot > exampletmp.dot
$ dot2tex exampletmp.dot > example.tex

You can also chain the commands:

$ dot2tex -tmath --preproc example.dot | dot2tex > example.tex

A shorter alternative is:

$ dot2tex -tmath --autosize example.dot > example.tex

The resulting graph now has correctly sized nodes and edge labels:

Graph with preprocessed labels

Modifying node sizes using the widht/height and margin attributes can be a bit counterintuitive. A few examples will hopefully make it clearer:

digraph G {
    node [shape=rectangle];
    a_1 [margin="0"];
    a_2 [margin="0.7,0.4"];
    a_3 [width="2",height="1"];
    a_1-> a_2 -> a_3 -> a_1;
}

Processing the graph with:

$ dot2tex -tmath --preproc example.dot | dot2tex > example.tex

gives

Graph with preprocessed labels

Setting the margin of a_1 to 0 has no effect because of the minimum node width. Processing the graph with:

$ dot2tex -tmath --preproc --nominsize example.dot | dot2tex > example.tex

gives a different graph, where only label widths and margins affect the node sizes:

Graph with preprocessed labels

Customizing the output

Dot2tex offers a few ways of modifying the generated output.

Using styles

The dot language defines the style attribute that can be used to modify the appearance of graphs, nodes, and edges. The style attribute is passed to the rendering backend, and is a powerful and flexible way of customizing the look and feel of your graphs. Using styles requires detailed knowledge of the output format.

The following example shows how interesting visual results can be achieved with the PGF/TikZ output format. The styles are PGF/TikZ specific. See the user guide for details:

graph G {
    node [shape=circle, fixedsize=True, width="0.2",
          style="ball color =green", label=""];
    edge [style="snake=zigzag, green"];
    a_1 -- c -- a_2;
    c [style="ball color=black"];
    edge [style="snake=snake, blue"];
    node [style="ball color = red", label=""];
    a_3 -- c -- a_4 --a_3;
}

The snake styles only work on straight lines. We therefore have to use the -s option. fdp is used to lay out the graph:

$ fdp -TXdot ball.dot | dot2tex -fpgf -s > balls.tex

The resulting graph is shown below.

Using styles to style the PGF/TikZ output.

Note

Use the straight edge option -s to force the use of straight lines. Otherwise curves will be used to draw even straight lines.

Changing arrow types

The style attribute can be used to change arrow types. A PGF/TikZ example:

digraph G {
    graph [mindist=0.5];
    node [fixedsize=true, shape=circle, width=0.4, style="fill=green!20"];
    c -> n_1 [style="-stealth"];
    c -> n_2 [style="-to"];
    c -> n_3 [style="-latex"];
    c -> n_4 [style="-diamond"];
    c -> n_5 [style="-o"];
    c -> n_6 [style="{-]}"];
    c -> n_7 [style="-triangle 90"];
    c -> n_8 [style="-hooks"];
    c -> n_9 [style="->>"];
    c [style="fill=red!80"];
}

Rendered with:

$ circo -Txdot pgfarrows.dot | dot2tex -tmath > pgfarrows.tex
PGF/TikZ style arrows.

You can also set the default arrow style by using the --graphstyle option or d2tgraphstyle attribute:

$ dot2tex -tmath --graphstyle=">=diamond" ex1.dot > ex1gstyle.tex
Setting default PGF/TikZ arrows.

A PSTricks example:

digraph G {
    d2tdocpreamble="\usepackage{pstricks-add}";
    graph [mindist=0.5];
    node [texmode="math", fixedsize=true, shape=circle, width=0.4];
    c -> n_1 [style="arrows=->"];
    c -> n_2 [style="arrows=->>"];
    c -> n_3 [style="arrows=-<"];
    c -> n_4 [style="arrows=-*"];
    c -> n_5 [style="arrows=-{]}"];
    c -> n_6 [style="arrows=-o"];
    c -> n_7 [style="arrows=-H"];
}

Rendered with:

$ circo -Txdot pstarrows.dot | dot2tex -fpst > pstarrows.tex
PSTricks style arrows

The above example shows how the d2tdocpreamble attribute can be used to load additional LaTeX packages. You could also use the `--docpreamble option:

$ ... | dot2tex -fpst --docpreamble="\usepackage{pstricks-add}" ...

Label styles

Node, edge and graph labels can be styled using the special lblstyle attribute. However, this only works for the pgf and tikz output formats.

Labels are drawn using code like:

\draw (157bp,52bp) node {label};

When you specify a lblstyle attribute, the style will be given as a parameter to the node like this:

\draw (157bp,52bp) node[lblstyle] {label};

Example:

digraph G {
    node [shape=circle];
    a -> b [label="label",lblstyle="draw=red,cross out"];
    b -> c [label="test",lblstyle="below=0.5cm,rotate=20,fill=blue!20"];
    a [label="aa",lblstyle="blue"];
    b [lblstyle="font=\Huge"];
    c [label="ccc", lblstyle="red,rotate=90"];
    label="Graph label";
    lblstyle="draw,fill=red!20";
    rankdir=LR;
}
Label styles

See the PGF and TikZ documentation for more information about styles.

Note

You can use the exstyle attribute in addition to lblstyle. The difference is that exstyle is ignored in preprocessing mode. Useful when using TikZ' pin and label options and you do not want them to influence the graph layout.

Node and edge options

The tikz output format offers an additional way of customizing the output by using the --nodeoptions and --edgeoptions options, or the d2tnodeoptions and d2tedgeoptions graph attributes. The code for generating nodes and edges will then be wrapped in a scope environment like this:

...
\begin{scope}[nodeoptions]
% code for drawing nodes
\end{scope}
\begin{scope}[edgeoptions]
% code for drawing edges
\end{scope}
...

Customizing edges

The tikz and pgf output formats offers a few additional ways of customizing how edges are drawn and how edge edge labels are placed. These features are tightly integrated with TikZ and detailed knowledge of the output format is therefore necessary.

TikZ edge labels

With the --tikzedgelabel option you can bypass the XDOT edge label placement and let PGF and TikZ do the job instead. This can be useful in some cases. However, this only works properly for straight edges and to paths.

Example:

graph G {
    mindist = 0.5;
    node [shape="circle"];
    edge [lblstyle="mystyle"];
    a -- b [label="ab"];
    b -- c [label="bc"];
    c -- a [label="ca"];
}

Without the --tikzedgelabel option the code for placing edges will look something like this:

% Edge: a -- b
\draw [] (28bp,55bp) -- (28bp,75bp);
\draw (40bp,65bp) node[mystyle] {ab};
% Edge: b -- c
\draw [] (51bp,88bp) -- (68bp,78bp);
\draw (66bp,96bp) node[mystyle] {bc};
% Edge: c -- a
\draw [] (69bp,51bp) -- (52bp,41bp);
\draw (53bp,57bp) node[mystyle] {ca};

With the tikzedgelabels option the output is simply:

\draw [] (a) -- node[mystyle] {ab} (b);
\draw [] (b) -- node[mystyle] {bc} (c);
\draw [] (c) -- node[mystyle] {ca} (a);

The placement of the edge labels depends on the options passed to the edge label node (in this case mystyle), and the curve used to connect the nodes. Some examples of mystyle values are shown in the figure below. The leftmost graph is rendered without the tikzedgelabels option.

blabla

Limitations:

  • Works best with straight edges and to paths
  • The headlabel and taillabel attributes are currently not affected by the tikzedgelabels option.

To paths

The topath edge attribute offers a way to override the edges drawn by Graphviz. When a topath attribute is encountered, dot2tex inserts a so called to path operation to connect the nodes. A number of predefined to paths are defined by TikZ, and you can create your own.

Example:

digraph G {
    mindist = 0.5;
    node [shape="circle"];
    a -> b [topath="bend right"];
    c -> b [topath="bend left"];
    c -> a [topath="out=10,in=-90"];
    b -> b [topath="loop above"];
}

Generating the graph with:

$ circo -Txdot topaths1.dot | dot2tex -ftikz > topaths1.tex

yields:

img/topaths1.png

The generated edge drawing code is:

\draw [->] (a) to[bend right] (b);
\draw [->] (c) to[bend left] (b);
\draw [->] (c) to[out=10,in=-90] (a);
\draw [->] (b) to[loop above] (b);

Note

To paths works best with layout tools that generate straight edges (neato, fdp, circo, twopi). The topath attribute overrides the edge routing done by Graphviz. You may therefore end up with overlapping edges.

Here is a larger example that uses the automata library:

digraph G {
    d2tdocpreamble = "\usetikzlibrary{automata}";
    d2tfigpreamble = "\tikzstyle{every state}= \
    [draw=blue!50,very thick,fill=blue!20]";
    node [style="state"];
    edge [lblstyle="auto",topath="bend left"];
    A [style="state, initial"];
    A -> B [label=2];
    A -> D [label=7];
    B -> A [label=1];
    B -> B [label=3,topath="loop above"];
    B -> C [label=4];
    C -> F [label=5];
    F -> B [label=8];
    F -> D [label=7];
    D -> E [label=2];
    E -> A [label="1,6"];
    F [style="state,accepting"];
}

Generated with:

neato -Txdot fsm1.dot | dot2tex -ftikz --tikzedgelabels --styleonly
blabla

Color support

All Graphviz color formats are supported, including the RGBA format. Transparency will however only work when using the PGF/TikZ output format.

Named colors are supported, but you have to ensure that the colors are defined in the resulting LaTeX file. The default PSTricks and PGF/TikZ templates load the X11names color scheme defined in the xcolor package. Note that color names in the xcolor package are case sensitive. This is not the case with Graphviz's color names. Use CamelCase names in your graphs to ensure compatibility with xcolor.

For convenience, a color definition file gcols.tex is distributed with dot2tex. You can find it in the examples directory. This file defines most of Graphviz's named colors as lower case. Include this file in the preamble if you need it.

Templates

The output from dot2tex is a list of drawing commands. To render the graphics with LaTeX there's a need for some boiling plate code. This code can be customized using simple templates. If no template is specified with the --template option, a default template will be used.

The following template tags are available:

<<drawcommands>>
The actual list of drawing commands.
<<figcode>>
Drawing commands wrapped in a figure environment. Note that several important style options are set in the figure environment.
<<bbox>>

Bounding box. Example: (0bp,0bp)(100bp,100bp) The individual parts of the bounding box are available with the tags:

  • <<bbox.x0>>
  • <<bbox.y0>>
  • <<bbox.x1>>
  • <<bbox.y1>>

Note that the bounding box parts are given without any units.

<<textencoding>>
The text encoding used for the output file. Current values are: - utf8 - latin1
<<docpreamble>>
Document preamble. The content of this tag is set by the --docpreamble option or d2tdocpreamble graph attribute. Useful for including packages and such.
<<figpreamble>>
Figure preamble. The content of this tag is set by the --figpreamble option or d2tfigpreamble graph attribute. Useful for setting font sizes and such.
<<preproccode>>
Code generated for preprocessing labels.

Three different templates are used by dot2tex for the preprocessing mode, output mode and figure only mode respectively. The following template tags make it possible to use the same template file for all modes.

<<startoutputsection>> and <<endoutputsection>>
Code between these tags is ignored in preprocessing mode.
<<startpreprocsection>> and <<endpreprocsection>>
Code between these tags is ignored in output mode.
<<startfigonlysection>> and <<endfigonlysection>>
Code between these tags is used as a template when using the --figonly option. Ignored in preprocessing and output mode.

Note

Tags that have no value are replaced with an empty string. Insert a % character after a template tag to avoid unwanted line breaks.

Default PGF/TikZ template

\documentclass{article}
\usepackage[x11names, rgb]{xcolor}
\usepackage[<<textencoding>>]{inputenc}
\usepackage{tikz}
\usetikzlibrary{snakes,arrows,shapes}
\usepackage{amsmath}
<<startpreprocsection>>%
\usepackage[active,auctex]{preview}
<<endpreprocsection>>%
<<gvcols>>%
<<cropcode>>%
<<docpreamble>>%

\begin{document}
\pagestyle{empty}
%
<<startpreprocsection>>%
<<preproccode>>
<<endpreprocsection>>%
%
<<startoutputsection>>
\enlargethispage{100cm}
% Start of code
% \begin{tikzpicture}[anchor=mid,>=latex',join=bevel,<<graphstyle>>]
\begin{tikzpicture}[>=latex',join=bevel,<<graphstyle>>]
\pgfsetlinewidth{1bp}
<<figpreamble>>%
<<drawcommands>>
<<figpostamble>>%
\end{tikzpicture}
% End of code
<<endoutputsection>>
%
\end{document}
%
<<startfigonlysection>>
\begin{tikzpicture}[>=latex,join=bevel,<<graphstyle>>]
\pgfsetlinewidth{1bp}
<<figpreamble>>%
<<drawcommands>>
<<figpostamble>>%
\end{tikzpicture}
<<endfigonlysection>>

The <<cropcode>> template tag is available when the --preview option is used. The contents will then be:

\usepackage[active,tightpage]{preview}
\PreviewEnvironment{tikzpicture}
\setlength\PreviewBorder{<<margin>>}

Default pstricks template

\documentclass{article}
% <<bbox>>
\usepackage[x11names]{xcolor}
\usepackage[<<textencoding>>]{inputenc}
\usepackage{graphicx}
\usepackage{pstricks}
\usepackage{amsmath}
<<startpreprocsection>>%
\usepackage[active,auctex]{preview}
<<endpreprocsection>>%
<<gvcols>>%
<<docpreamble>>%


\begin{document}
\pagestyle{empty}
<<startpreprocsection>>%
<<preproccode>>%
<<endpreprocsection>>%
<<startoutputsection>>%
\enlargethispage{100cm}

% Start of code
\begin{pspicture}[linewidth=1bp<<graphstyle>>]<<bbox>>
\pstVerb{2 setlinejoin} % set line join style to 'mitre'
<<figpreamble>>%
<<drawcommands>>
<<figpostamble>>%
\end{pspicture}
% End of code
<<endoutputsection>>%
\end{document}
%
<<startfigonlysection>>
\begin{pspicture}[linewidth=1bp<<graphstyle>>]<<bbox>>
\pstVerb{2 setlinejoin} % set line join style to 'mitre'
<<figpreamble>>%
<<drawcommands>>
<<figpostamble>>%
\end{pspicture}
<<endfigonlysection>>

Special attributes

Dot2tex defines several special graph, node and edge attributes. Most of them are not part of the DOT language.

texmode
Changes locally how labels are interpreted.
texlbl
Overrides the current node or edge label.
d2tdocpreamble
Sets the <<docpreamble>> tag.
d2tfigpreamble
Sets the <<figpreamble>> tag.
d2tfigpostamble
Sets the <<figpostable>> tag.
d2tgraphstyle
Sets the <<graphstyle>> tag.
d2ttikzedgelabels
Sets the --tikzedgelabels option.
d2tnodeoptions
Sets the --nodeoptions option.
d2tedgeoptions
Sets the --edgeoptions option.
style
Used to pass styles to the backend. Styles are output format specific, with the exception of the styles defined by the DOT language.
lblstyle
Used to set styles for drawing graph, node and edge labels. Only works for the pgf and tikz output formats.
exstyle
The same as lblstyle, except that exstyle is ignored in preprocessing mode.
topath
Used to set a to path operation for connecting nodes. Only works for the tikz output format.
d2talignstr

Used to pass a default alignment string to the PSTricks \rput command:

\rput[d2talignstr] ...
d2toptions
Allows you to pass options to dot2tex in the same format as from the command line. The d2toptions value is parsed in the same way as ordinary command line options.

Including external dot files

If your input file contains the single line

\input{filename.dot}

dot2tex will load the filename.dot file and convert it. This feature is useful when you want to use the dot2texi LaTeX package, but don't want to include your dot code directly in your document.

Using dot2tex as a module

It is possible to load dot2tex as a module for use in other Python programs. Here is a basic example:

import dot2tex
testgraph = """
digraph G {
    a -> b -> c -> a;
}
"""
texcode = dot2tex.dot2tex(testgraph, format='tikz', crop=True)

The dot2tex function is the main interface:

dot2tex(dotsource,**kwargs)

It takes the following input arguments:

Argument Description
dotsource A string containing a DOT or XDOT graph.
**kwargs An arbitrary number of conversion options passed as keyword arguments

The function returns the resulting LaTeX code as a string.

The supported options are the same as the command line options (long version). Here are a few examples:

import dot2tex as d2t
texcode = d2t.dot2tex(testgraph, format='tikz', crop=True)
texcode = d2t.dot2tex(testgraph, preproc=True,figonly=True)
texcode = d2t.dot2tex(testgraph, debug=True)

Option values are either strings or booleans. Note that some of the command line options are not relevant when using dot2tex as a module.

To specify a template you can use the template option like this:

import dot2tex
mytemplate = "<<drawcommands>>"
texcode = dot2tex.dot2tex(graph, template = mytemplate)

Debugging

You can set debug=True to create a detailed log useful for debugging. To retrieve the content of the log you can use the get_logstream function. It will return a StringIO instance. You can then use the getvalue() class method to get the actual text. Example:

import dot2tex
texcode = dot2tex.dot2tex(testgraph, debug=True)
logstream = dot2tex.get_logstream()
print logstream.getvalue()

Issues and limitations

The purpose of dot2tex is to give graphs a more LaTeX friendly look, not to create exact duplicates. However, the program does a descent duplication job when it comes to drawing nodes and edges, but it does not try to duplicate label and annotation formatting.

A list of known limitations:

Text encoding

Graphviz's default text encoding is utf8. The latin1 encoding can also be used. Utf8 is an unicode encoding and can in theory handle any international characters. However, LaTeX's unicode support is somewhat limited.

Tips and tricks

Fonts

No font information in the DOT file is preserved by dot2tex. However, there are several ways of modifying the generated LaTeX code to achieve some control of fonts and font sizes.

  • Modifying the templates.
  • Using the d2tdocpreamble and d2tfigpreamble attributes or command line options.
  • Using the lblstyle attribute.

To increase the font size you can for instance insert a \Huge command in the figure preamble:

$ dot2tex -tmath --figpreamble="\Huge" ex1.dot > ex1huge.tex
Setting label font size to \Huge

Debugging

When making your own templates it is easy to make mistakes, and LaTeX markup in graphs may fail to compile. To make it easier to find errors, invoke dot2tex with the --debug option:

$ dot2tex --preproc --debug test.dot

A dot2tex.log file will then be generated with detailed information. In the log file you will find the generated LaTeX code, as well as well as the compilation log.

Be consistent

Be aware of differences between the template you use for preprocessing and code used to generate final output. This is especially important if you use the --figonly option and include the code in a master document. If a 10pt font is used during preprocessing, the result may not be optimal if a 12pt font is used in the final output.

Example. A graph is generated with:

$ dot2tex --preproc -tmath --nominsize ex1.dot > ex1tmp.dot

Running through dot2tex again with:

$ dot2tex --figpreamble="\Huge" ex1tmp.dot > ex1huge.tex

gives labels that do not fit properly inside the nodes.

Inconsistence between preproc mode and output mode

Postprocessing

The output from Graphviz and dot2tex is not perfect. Manual adjustments are sometimes necessary to get the right results for use in a publication. For final and cosmetic adjustments, it is often easier to edit the generated code than to hack the dot source. This is especially true when using the tikz output format.

Use the special graph attributes

Dot2tex has many options for customizing the output. Sometimes is is impractical or boring to type the various options at the command line each time you want to create the graph. To avoid this, you can use the special graph attributes. The d2toptions attribute is handy because it is interpreted as command line options.

So instead of typing:

$ dot2tex -tikz -tmath --tikzedgelabels ex1.dot

each time, use d2toptions like this:

digraph G {
    d2toptions ="-tikz -tmath --tikzedgelabels";
    ...
}

Use the tikz output format for maximum flexibility

The difference between the pgf and tikz output formats is best shown with an example. Consider the following graph:

graph G {
    mindist = 0.5;
    node [shape=circle];
    a -- b -- c -- a;
}

Rendering the graph using circo and the pgf and tikz output formats:

$ circo -Txdot simple.dot | dot2tex -tmath -fpgf -s
$ circo -Txdot simple.dot | dot2tex -tmath -ftikz -s

gives visually different graphs:

Difference between pgf and tikz output format

However, the main difference is in the generated code. Here is the pgf output:

% Edge: a -- b
\draw [] (19bp,38bp) -- (19bp,60bp);
% Edge: b -- c
\draw [] (35bp,70bp) -- (55bp,58bp);
% Edge: c -- a
\draw [] (55bp,40bp) -- (35bp,28bp);
% Node: a
\begin{scope}
\pgfsetstrokecolor{black}
\draw (19bp,19bp) ellipse (18bp and 19bp);
\draw (19bp,19bp) node {$a$};
\end{scope}
% Node: b
\begin{scope}
\pgfsetstrokecolor{black}
\draw (19bp,79bp) ellipse (18bp and 19bp);
\draw (19bp,79bp) node {$b$};
\end{scope}
% Node: c
\begin{scope}
\pgfsetstrokecolor{black}
\draw (71bp,49bp) ellipse (18bp and 19bp);
\draw (71bp,49bp) node {$c$};
\end{scope}

Compare the above code with the tikz output:

\node (a) at (19bp,19bp) [draw,circle,] {$a$};
\node (b) at (19bp,79bp) [draw,circle,] {$b$};
\node (c) at (71bp,49bp) [draw,circle,] {$c$};
\draw [] (a) -- (b);
\draw [] (b) -- (c);
\draw [] (c) -- (a);

The code is much more compact and it is quite easy to modify the graph.

The dot2texi LaTeX package

The dot2texi package allows you to embed DOT graphs directly in you LaTeX document. The package will automatically run dot2tex for you and include the generated code. Example:

\documentclass{article}
\usepackage{dot2texi}

\usepackage{tikz}
\usetikzlibrary{shapes,arrows}

\begin{document}
\begin{dot2tex}[neato,options=-tmath]
digraph G {
    node [shape="circle"];
    a_1 -> a_2 -> a_3 -> a_4 -> a_1;
    }
\end{dot2tex}

\end{document}

When the above code is run through LaTeX, the following will happen is shell escape is enabled:

  • The graph is written to file.
  • dot2tex is run on the DOT file.
  • The generated code is included in the document.

The whole process is completely automated. The generated graph will look like this:

Graph generated with dot2texi

The codeonly option is useful in conjunction with dot2texi, especially when used with the tikz output format. Here is an example that shows how to annotate a graph:

\documentclass{article}
\usepackage{tikz}
\usetikzlibrary{arrows,shapes}
\usepackage{dot2texi}
\begin{document}
% Define layers
\pgfdeclarelayer{background}
\pgfdeclarelayer{foreground}
\pgfsetlayers{background,main,foreground}

% The scale option is useful for adjusting spacing between nodes.
% Note that this works best when straight lines are used to connect
% the nodes.
\begin{tikzpicture}[>=latex',scale=0.8]
    % set node style
    \tikzstyle{n} = [draw,shape=circle,minimum size=2em,
                        inner sep=0pt,fill=red!20]
    \begin{dot2tex}[dot,tikz,codeonly,styleonly,options=-s -tmath]
        digraph G  {
            node [style="n"];
            A_1 -> B_1; A_1 -> B_2; A_1 -> B_3;
            B_1 -> C_1; B_1 -> C_2;
            B_2 -> C_2; B_2 -> C_3;
            B_3 -> C_3; B_3 -> C_4;
        }
    \end{dot2tex}
    % annotations
    \node[left=1em] at (C_1.west)  (l3) {Level 3};
    \node at (l3 |- B_1) (l2){Level 2};
    \node at (l3 |- A_1) (l1) {Level 1};
    % Draw lines to separate the levels. First we need to calculate
    % where the middle is.
    \path (l3) -- coordinate (l32) (l2) -- coordinate (l21) (l1);
    \draw[dashed] (C_1 |- l32) -- (l32 -| C_4);
    \draw[dashed] (C_1 |- l21) -- (l21 -| C_4);
    \draw[<->,red] (A_1) to[out=-120,in=90] (C_2);
    % Highlight the A_1 -> B_1 -> C_2 path. Use layers to draw
    % behind everything.
    \begin{pgfonlayer}{background}
        \draw[rounded corners=2em,line width=3em,blue!20,cap=round]
                (A_1.center) -- (B_1.west) -- (C_2.center);
    \end{pgfonlayer}
\end{tikzpicture}
\end{document}
Annotated graph

Note

If you don't want to include the dot directly in your document, you can use the \input{..} command. See the section Including external dot files for more details.

Acknowledgements

The dot parser used by dot2tex is based on code from the pydot project.