package info
(click to toggle)
phpwiki 1.3.12p3-5etch1
- links: PTS
- area: main
- in suites: etch
- size: 16,956 kB
- ctags: 21,608
- sloc: php: 82,335; xml: 3,840; sh: 1,522; sql: 1,198; perl: 625; makefile: 562; awk: 28
Folder: doc
| .. (parent) | ||||
| - | rw-r--r-- | 7,430 | CREDITS | |
| - | rw-r--r-- | 27,649 | HISTORY | |
| - | rw-r--r-- | 14,192 | INSTALL.MacOSX | |
| - | rw-r--r-- | 4,959 | INSTALL.flatfile | |
| - | rw-r--r-- | 1,972 | INSTALL.mSQL | |
| - | rw-r--r-- | 3,089 | INSTALL.mysql | |
| - | rw-r--r-- | 2,276 | INSTALL.oci8 | |
| - | rw-r--r-- | 3,786 | INSTALL.pgsql | |
| - | rw-r--r-- | 1,566 | INSTALL.sqlite | |
| - | rw-r--r-- | 2,892 | README.coding | |
| - | rw-r--r-- | 8,733 | README.foaf | |
| - | rw-r--r-- | 176 | README.fpdf | |
| - | rw-r--r-- | 14,039 | README.phpwiki-auth | |
| - | rw-r--r-- | 6,308 | README.phpwiki-cache | |
| - | rw-r--r-- | 8,807 | README.security | |
| - | rw-r--r-- | 2,301 | THEMES | |
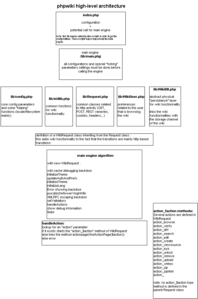
| - | rw-r--r-- | 11,470 | phpwiki_architecture.png |
